Senhas matemáticas de wifi que deixam as pessoas loucas, você consegue encontrar a resposta?

Abaixo está uma série de senhas de Wi-Fi que causam danos cerebrais, que são problemas de matemática ou química que fazem muitas pessoas balançarem a cabeça e terem que usar o 4G. Mesmo por curiosidade, peguei uma caneta e papel para calcular em várias páginas, resolvi um monte de equações químicas, mas ainda assim as digitei errado, causando frustração e vontade de enlouquecer.

Senhas matemáticas de wifi que deixam as pessoas loucas, você consegue encontrar a resposta?
Enquanto viajava pela Tailândia, esse cara se deparou com um restaurante estranho com a placa abaixo. Esse cara teve que ir imediatamente ao Reddit para pedir ajuda.
Senhas matemáticas de wifi que deixam as pessoas loucas, você consegue encontrar a resposta?
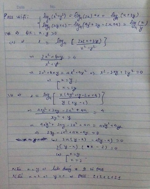
A senha do Wi-Fi é um quebra-cabeça para novos funcionários que não são bons em matemática. Certamente fará com que muitas pessoas prefiram usar o 4G em vez de ficar sentadas.
Senhas matemáticas de wifi que deixam as pessoas loucas, você consegue encontrar a resposta?
Depois de pedir ajuda no Facebook, um internauta entusiasmado ajudou a menina a encontrar a senha do wi-fi.
Senhas matemáticas de wifi que deixam as pessoas loucas, você consegue encontrar a resposta?
Só de olhar já me dá vontade de desmaiar, felizmente a última frase me salva.
Senhas matemáticas de wifi que deixam as pessoas loucas, você consegue encontrar a resposta?
Resolva isso para obter o passe.
Senhas matemáticas de wifi que deixam as pessoas loucas, você consegue encontrar a resposta?
Uma senha matemática super longa para Wi-Fi criada no Vietnã faz as pessoas enlouquecerem e preferirem usar o 4G do que resolvê-la.
Senhas matemáticas de wifi que deixam as pessoas loucas, você consegue encontrar a resposta?
Novo aluno, acabou de alugar um quarto e conheceu veteranos gentis que lhe deram a senha do Wi-Fi para usar gratuitamente. Mas posso usar essa senha?
Senhas matemáticas de wifi que deixam as pessoas loucas, você consegue encontrar a resposta?
Ir para a escola com Wi-Fi gratuito é ótimo, certo? Mas a vida não é como um sonho. O diretor é realmente "talentoso".
Senhas matemáticas de wifi que deixam as pessoas loucas, você consegue encontrar a resposta?
Para obter a senha do wi-fi do café, os clientes precisam resolver este quebra-cabeça químico. É realmente difícil para os clientes. Basta olhar para isso para ver que a paixão da dona da loja pela Química nunca "apagou", mesmo quando ela mudou para os negócios.
Senhas matemáticas de wifi que deixam as pessoas loucas, você consegue encontrar a resposta?
Definir senhas de Wi-Fi estranhas como "wifihongroi - Wi-Fi está quebrado", "yeuthicho - ame e então dê", "emdepkhong - em dep khong"... está ultrapassado. A tendência atual para senhas de Wi-Fi é usar equações químicas para criptografar novas senhas.
Senhas matemáticas de wifi que deixam as pessoas loucas, você consegue encontrar a resposta?
Senha de Wi-Fi 'hackeia o cérebro' dos clientes de uma cafeteria. Para obter a senha do wifi, os clientes devem balancear a equação química. Meu Deus, nem todo mundo é bom em química, certo, pessoal?
Senhas matemáticas de wifi que deixam as pessoas loucas, você consegue encontrar a resposta?
A resposta foi dada por um cliente alguns dias depois.
Senhas matemáticas de wifi que deixam as pessoas loucas, você consegue encontrar a resposta?
Olhando para senhas de Wi-Fi como essas, certamente os "cegos" vão "gritar" e mudar rapidamente para o 4G. É por isso que a Química e a Matemática são muito importantes na vida.

Veja também:

Sign up and earn $1000 a day ⋙

Leave a Comment

Como recuperar o acesso ao disco rígido, corrigir o erro de não conseguir abrir o disco rígido

Como recuperar o acesso ao disco rígido, corrigir o erro de não conseguir abrir o disco rígido

Neste artigo, mostraremos como recuperar o acesso ao seu disco rígido em caso de falha. Vamos acompanhar!

Como usar o recurso de Conscientização de Conversação e Escuta ao Vivo nos AirPods

Como usar o recurso de Conscientização de Conversação e Escuta ao Vivo nos AirPods

À primeira vista, os AirPods parecem fones de ouvido sem fio comuns. Mas tudo mudou quando alguns recursos pouco conhecidos foram descobertos.

Tudo sobre o iOS 26

Tudo sobre o iOS 26

A Apple apresentou o iOS 26 – uma grande atualização com um novo design de vidro fosco, experiências mais inteligentes e melhorias em aplicativos familiares.

Os melhores laptops para estudantes em 2025

Os melhores laptops para estudantes em 2025

Os alunos precisam de um tipo específico de laptop para seus estudos. Ele não deve apenas ser potente o suficiente para um bom desempenho na área de estudo escolhida, mas também compacto e leve o suficiente para ser carregado o dia todo.

Como adicionar uma impressora ao Windows 10

Como adicionar uma impressora ao Windows 10

Adicionar uma impressora ao Windows 10 é simples, embora o processo para dispositivos com fio seja diferente do que para dispositivos sem fio.

Como verificar a RAM e verificar erros de RAM no seu computador com a maior taxa de precisão

Como verificar a RAM e verificar erros de RAM no seu computador com a maior taxa de precisão

Como você sabe, a RAM é um componente de hardware muito importante em um computador, atuando como memória para processar dados e é o fator que determina a velocidade de um laptop ou PC. No artigo abaixo, o WebTech360 apresentará algumas maneiras de verificar erros de RAM usando software no Windows.

Diferença entre TV comum e Smart TV

Diferença entre TV comum e Smart TV

As Smart TVs realmente conquistaram o mundo. Com tantos recursos excelentes e conectividade à Internet, a tecnologia mudou a maneira como assistimos TV.

Por que o freezer não tem luz, mas a geladeira tem?

Por que o freezer não tem luz, mas a geladeira tem?

Geladeiras são eletrodomésticos comuns em residências. As geladeiras geralmente têm 2 compartimentos, o compartimento frio é espaçoso e tem uma luz que acende automaticamente toda vez que o usuário o abre, enquanto o compartimento do freezer é estreito e não tem luz.

2 maneiras de corrigir o congestionamento da rede que deixa o Wi-Fi lento

2 maneiras de corrigir o congestionamento da rede que deixa o Wi-Fi lento

As redes Wi-Fi são afetadas por muitos fatores além de roteadores, largura de banda e interferência, mas existem algumas maneiras inteligentes de melhorar sua rede.

Como fazer downgrade do iOS 17 para o iOS 16 sem perder dados usando o Tenorshare Reiboot

Como fazer downgrade do iOS 17 para o iOS 16 sem perder dados usando o Tenorshare Reiboot

Se você quiser voltar para o iOS 16 estável no seu telefone, aqui está o guia básico para desinstalar o iOS 17 e fazer o downgrade do iOS 17 para o 16.

O que acontece com o corpo quando você come iogurte todos os dias?

O que acontece com o corpo quando você come iogurte todos os dias?

Iogurte é um alimento maravilhoso. É bom comer iogurte todos os dias? Quando você come iogurte todos os dias, como seu corpo muda? Vamos descobrir juntos!

Que tipo de arroz é melhor para a saúde?

Que tipo de arroz é melhor para a saúde?

Este artigo discute os tipos de arroz mais nutritivos e como maximizar os benefícios para a saúde de qualquer arroz que você escolher.

Como acordar na hora certa pela manhã

Como acordar na hora certa pela manhã

Estabelecer um horário de sono e uma rotina para dormir, mudar o despertador e ajustar a dieta são algumas das medidas que podem ajudar você a dormir melhor e acordar na hora certa pela manhã.

Dicas para jogar Rent Please! Simulador de Proprietário para Iniciantes

Dicas para jogar Rent Please! Simulador de Proprietário para Iniciantes

Alugue, por favor! Landlord Sim é um jogo de simulação para dispositivos móveis para iOS e Android. Você jogará como proprietário de um complexo de apartamentos e começará a alugar um apartamento com o objetivo de reformar o interior do seu apartamento e deixá-lo pronto para inquilinos.

Últimos códigos de defesa de torre de banheiro e como inseri-los

Últimos códigos de defesa de torre de banheiro e como inseri-los

Obtenha o código do jogo Bathroom Tower Defense Roblox e resgate recompensas emocionantes. Elas ajudarão você a melhorar ou desbloquear torres com maior dano.